Глубина заложения фундамента
Любая постройка нуждается в качественном, надежном, правильно спроектированном и обустроенном основании – фундаменте. Он является опорной площадкой, принимающей на себя и обеспечивающей распределение как нагрузок, создаваемых зданием, так и сил воздействия грунта, атмосферных явлений и прочих внешних факторов.

Глубина заложения фундамента
Одним из важнейших этапов проектирования опорной конструкции, вне зависимости от ее разновидности, является определение требуемой глубины заложения. Многие застройщики ошибочно полагают (и многочисленные инструкции, составленные неквалифицированными авторами, лишь усугубляют положение дел), что глубину заложения фундамента нужно определять, ориентируясь исключительно на уровень промерзания грунта. Да, это один из наиболее значимых показателей, но в действительности факторов, требующих учета и анализа, гораздо больше: особенности постройки, инженерно-геологические условия, рельеф площадки, уровень прохождения подземных вод и т.д.

Способы закладки фундамента
Знание методики определения необходимой глубины заложения опоры позволит вам спроектировать и получить в итоге максимально надежную конструкцию, способную служить десятки лет безо всяких проблем и нареканий. Даже если вы планируете поручить обустройство опоры сторонним специалистам, разобравшись в нюансах рассматриваемого расчета, вы сможете проконтролировать правильность выполняемых ими действий, т.к. неверный выбор глубины заложения в будущем приведет к катастрофическим последствиям – начнутся процессы деформации и последующего разрушения опоры, а вместе с ней и вышестоящего здания.

Действующие на фундамент нагрузки
Популярные мифы о глубине заложения
Следуя элементарной логике, можно прийти к примерно такому выводу: чем глубже заложишь фундамент, тем лучше он будет противостоять всевозможным воздействиям, и тем дольше прослужит. На практике ситуация обстоит иным образом. Далее вам предлагается ознакомиться с самыми популярными мифами о глубине заложения фундамента и узнать, как нужно делать правильно.
Глубже строишь – дольше служит

Стоит ли строить глубокий фундамент
Даже опытные труженики сферы строительства нередко заблуждаются, полагая, что внушительная глубина заложения при любых обстоятельствах является гарантией надежности и долговечности конструкции. В некоторых ситуациях это срабатывает, но не стоит думать, что большая глубина заложения основания будет являться 100%-м залогом высокой прочности опоры.

Фундамент глубокого заложения
На практике обязательно выполняется квалифицированный и довольно объемный расчет, предполагающий предварительное проведение инженерно-геологических исследований, определение типа почвы на участке, нахождение уровня прохождения грунтовых вод и т.д. Многое зависит и от конструктивных особенностей возводящегося здания (материал, число этажей, надстройки и т.п.). К примеру, к фундаменту для бани при прочих равных условиях будут предъявляться менее строгие требования, нежели к опоре, рассчитанной на использование в комплексе с жилым домом, но к определению оптимальной глубины заложения нужно одинаково ответственно и грамотно подходить в обоих случаях.
Полезный совет! Вышеперечисленные моменты интересным и понятным простому обывателю языком подробно изложены в книге «Не зарывайте фундаменты вглубь» под авторством В.С. Сажина. Рекомендуем к ознакомлению.

Иллюстрация к пособию
Файл для скачивания – В.С. Сажин «Не зарывайте фундаменты вглубь». Расчеты, таблицы, конструкция фундаментов, правила выбора опорных конструкций, правила армирования
Файл для скачивания – В.С. Сажин «Не зарывайте фундаменты вглубь»
Одна лишь глубина важна?
Как отмечалось, фундамент не во всех ситуациях должен быть заглубленным, даже если строительство ведется на не самом спокойном грунте – существуют строительные технологии, позволяющие увеличить твердость и плотность практически любой почвы. Ввиду этого, если запланировано строительство компактной частной бани, а не огромного жилого дома, в «закапывании денег в землю» не будет никакого смысла.

Небольшой бане не нужен фундамент глубокого заложения
Наряду с этим, должны учитываться характерные особенности строительной площадки. К примеру, распространенной проблемой является высокое прохождение грунтовых вод. В случае возведения бани, этот вопрос можно решить посредством обустройства эффективного дренажа вокруг опорной конструкции, а не за счет заглубления фундамента.

Схема дренажа фундамента

План дренажа
Еще одной распространенной проблемой являются оползни. Наличие таковых может привести к катастрофическим последствиям в виде провисания, деформации и разрушения опорной конструкции. В данном случае целесообразнее будет заняться укреплением грунта, а не фундамента.

Укрепление и защита грунта

Укрепление грунта габионами

Укрепление грунта решеткой

Укрепление грунтов и стабилизация опасных склонов
К примеру, в случае с песчаными грунтами хорошо проявляет себя технология силикатизации, предполагающая обработку грунта вокруг опорной конструкции с помощью смеси, включающей равные доли воды и жидкого стекла. Увлажненный таким составом песок тщательно утрамбовывается. В результате грунт становится более прочным.

Принципиальная схема двухрастворной силикатизации оснований
Еще один эффективный способ предполагает использование специальных химических реагентов. В данном случае на строительной площадке пробуриваются небольшие скважины, через полученные углубления в землю вливаются смоляные составы, что приводит к эффективному упрочнению слабого грунта с минимальными финансовыми затратами.

Внесение реагентов-стабилизаторов
Нормативно-технические положения
Положения в отношении оптимальной глубины заложения опорных конструкций закреплены соответствующей нормативной документацией. В данном случае это СНиП под номером 2.02.01-83.
Файл для скачивания. СНиП 2.02.01-83. СП 22.13330.2011. ОСНОВАНИЯ ЗДАНИЙ И СООРУЖЕНИЙ.
СНиП 2.02.01-83
От чего зависит глубина заложения опорных конструкций?
На этом этапе проектирования внимание уделяется следующим моментам:
Что такое нормативная глубина промерзания грунта?

Что такое нормативная глубина промерзания грунта
При определении этого значения используется усредненный показатель наибольших ежегодных глубин промерзания. Для правильного проведения расчета нужно брать сведения, полученные в ходе минимум 10-летнего наблюдения. Непосредственно для наблюдений выбирается ровная не заснеженная площадка. Уровень грунтовых вод, при этом, должен быть ниже по отношению к показателю сезонного промерзания почвы.

Нормативная глубина промерзания грунта

Карта залегания грунтовых вод
Если результаты многолетних наблюдений отсутствуют (а именно так зачастую и случается) выполняются соответствующие теплотехнические расчеты. Для регионов, на территории которых почва не промерзает больше чем на 250 см, допустимо использование следующей формулы определения нормативного показателя глубины промерзания.

Формула определения нормативного показателя глубины промерзания
Коэффициент Mt в вышеприведенной формуле указывает на суммарное значение абсолютных среднемесячных минусовых температур зимой для конкретного региона. Эту информацию следует уточнить индивидуально, обратившись в ближайшую гидрометеорологическую станцию или ознакомившись с соответствующей справочной информацией.
Коэффициент d0 определяется по типу почвы на участке. Зависимость следующая:
Что такое расчетная глубина промерзания?
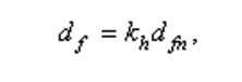
Для ее нахождения используется следующая формула.

Формула расчета глубины промерзания
Коэффициент dfn здесь указывает на нормативную глубину промерзания (руководство по определению этого показателя приводилось выше).
Показатель kh является коэффициентом, отсылающим к воздействию теплового режима строения. В случае с наружными опорными конструкциями отапливаемых зданий этот параметр берется из следующей таблицы.

Таблица для определения коэффициента
При обустройстве же оснований неотапливаемых зданий данный коэффициент принимается равным 1,1.
Определение показателя расчетной глубины промерзания осуществляется в соответствии с теплотехническим расчетом и в тех ситуациях, когда опорная конструкция укомплектовывается постоянной теплоизоляцией. Также данное положение актуально для ситуаций, когда особенности температурной эксплуатации возводящегося здания могут оказывать значимое воздействие на температурные показатели почвы, к примеру, в случае с банями.
Показатель глубины заложения, актуальный для отапливаемых конструкций, также принимается в случае возведения внешних и внутренних оснований. Во втором случае расчетный показатель промерзания во внимание не принимается.
Расчетное значение также может не учитываться, если:
Для нахождения глубины обустройства опорных конструкций отапливаемых зданий, планировка которых включает необогреваемые подполья и подвальные помещения, используйте следующую таблицу. Считайте от пола первого этажа до подвала.

Таблица для нахождения глубины обустройства опорных конструкций
От теории к практике
Ранее вы имели возможность ознакомиться с перечнем факторов, принимаемых во внимание в процессе проектирования фундамента, а также получили теоретическое представление об основных расчетных мероприятиях на этапе планирования основания. Теперь вам предлагается узнать, как проводится определение оптимальной глубины заложения на практике.
На что обращаем внимание?
Ранее приводился довольно обширный перечень факторов, определяющих оптимальную глубину заложения фундамента. На практике застройщики обращают внимание лишь на некоторые из них. Об этом в таблице.
Таблица. Факторы, определяющие глубину заложения
| Факторы | Пояснения |
|---|---|
Инженерно-геологические |
В ходе изучения инженерно-геологических условий определяется слой грунта, способный взять на себя функции естественного несущего основания для опорной конструкции.
На практике при определении глубины заложения придерживаются нижеперечисленных правил: — глубина заложения – от 50-70 см; — заглубление опорной конструкции в естественный несущий слой – от 10-20 см; — по возможности опорное основание закладывается ниже по отношению к грунтовым водам. Соблюдая это правило, застройщик избавляет себя от необходимости сооружения водоотлива. При этом будут отсутствовать нарушения природной структуры почвы. Если возможность заглубиться ниже уровня грунтовых вод ввиду каких-либо обстоятельств отсутствует, прибегают к обустройству водоотлива, шпунтованного крепления стенок ямы, в результате чего величина суммарных затрат на проведение необходимых земляных работ существенно возрастает. |
Климатические |
Среди значимых климатических факторов, имеющих наибольшее значение при установлении глубины заложения опорных конструкций различного назначения, выделяют, во-первых, глубину промерзания почвы на участке, во-вторых, особенности оттаивания грунта, связанные, прежде всего, с уровнем прохождения подземных вод.
Некоторые типы грунтов в процессе промерзания поддаются пучению, т.е. увеличивают свой объем. В подобных условиях фундамент строения должен быть заложен строго ниже точки глубины промерзания. К появлению упомянутого морозного пучения приводит преимущественно перемещение влаги, содержащейся в нижележащих грунтовых слоях, к фронту промерзания. Ввиду этого, большое значение при определении оптимальной глубины обустройства опорной конструкции должно уделяться показателю уровня прохождения подземных вод в холодный период года. К категории пучинистых относятся пылевато-глинистые грунты и разновидности грунтов, состоящие из мелкого и пылеватого песка. При выполнении строительных работ на таких почвах, глубину обустройства опоры определяют по показателю уровня промерзания, если подземные воды проходят менее чем на 200 см ниже точки промерзания. |
Конструктивные |
Среди значимых конструктивных особенностей возводящегося строения, влияющих на итоговое значение глубины заложения основания, выделяют:
— наличие цокольных/подвальных помещений и их габариты; — наличие приямков и их размерные характеристики; — наличие и габариты опорных конструкций для различного оборудования, к примеру, банной печи; — наличие подземных коммуникаций и их габаритные характеристики; — характер нагрузок, поступающих на опорную конструкцию, и их величину. Как правило, при наличии подземных помещений опорные конструкции заглубляют на 50 см ниже пола таковых. В случае обустройства столбчатой опорной конструкции, упомянутый показатель может увеличиваться до 150 см. |
Важно! После определения оптимальной глубины заложения по всем значимым факторам, выбирается наибольший найденный показатель, и именно он используется в качестве расчетного.
Рекомендации для разных типов фундаментов
Существует довольно много разновидностей опорных конструкций, среди которых наибольшее распространение в частном строительстве получили ленточный, столбчатый и плитный фундаменты. Далее вам предлагается ознакомиться с рекомендациями в отношении оптимальной глубины заложения каждого из них.
Ленточные опоры
Фундамент ленточного типа занимает первое место по популярности среди частных застройщиков. Такие конструкции характеризуются более легким возведением и меньшими финансовыми затратами, если сравнивать с монолитными плитными опорами.
Конструкция ленточного основания представляет собой армированную бетонную полосу, обустраиваемую под стенами и перегородками строения. Основание принимает нагрузки, создаваемые вышестоящим строением, и обеспечивает их равномерное распределение на грунт.

Фундамент ленточного типа
Важно! Показатель несущей способности почвы на участке должен превышать нагрузки, передаваемые фундаментной конструкцией от здания. Сведения в отношении необходимых расчетов подробно освящались в соответствующей публикации.
Основание ленточного типа подходит для использования на однородных грунтах с отсутствующей либо слабовыраженной пучинистостью. Лучше, чтобы грунтовые воды проходили как можно ниже. Не рекомендуется обустраивать бетонные ленты на подтапливаемых территориях.
Рассматриваемый фундамент запрещен к использованию на торфяных и прочих биогенных органических почвах. Также от применения такой конструкции следует воздерживаться, если строительный участок располагается на неоднородной почве либо на стыке различающихся типов грунтов. Не рекомендуется использовать ленточный фундамент на водонасыщенном пылеватом песчаном грунте и водонасыщенных глинистых грунтах.
При определении конфигурации и геометрических параметров опорного основания нужно учитывать нижеперечисленные факторы:
Минимально допустимую глубину обустройства ленточной опорной конструкции определяют по уровню промерзания почвы, высоте залегания подземных вод, а также особенностям пучинистости грунта. Зависимость следующая: чем глубже промерзает грунт и чем ближе вода проходит к поверхности, тем сильнее пучинистость почвы, и тем более выраженное воздействие оказывается на опору снизу. Под воздействием данных сил основание будет сдавливаться и выталкиваться вверх. Для уменьшения интенсивности выраженности этих воздействий и осуществляется заглубление фундамента.
Полезный совет! Помимо заглубления опорной конструкции, выраженность показателей морозного пучения почвы может регулироваться посредством обеспечения теплоизоляции опоры, монтажа несъемной теплозащищенной опалубки на этапе обустройства фундамента, а также путем обеспечения водоотведения и организации дренажа, уплотнения грунта, его частичной либо полной замены.
В соответствии с актуальными строительными нормами, наименьшее допустимое заглубление ленточной бетонной опоры на всех малопучинистых и непучинистых почвах (за исключением глинистого и скального грунтов) составляет 450 мм. При работе на скальном грунте, ввиду физической невозможности обеспечения значительного заглубления, допускается обустройство опорной конструкции непосредственно на поверхности почвы. При обустройстве ленточной опорной конструкции на глинистых почвах и прочих грунтах пучинистого типа, основание заглубляется минимум на 750 мм (в среднем выдерживают 90-100-сантиметровый показатель).
Если грунт чрезмерно мягкий и присутствует вероятность его подвижности (в эту группу входят водонасыщенные почвы, супеси, пески), а также при низких показателях несущей способности поверхностных грунтовых слоев, ленточный фундамент может быть заглублен до уровня расположения шаров грунта, характеризующихся стабильными свойствами и более высокой несущей способностью.
В качестве ориентиров можете использовать значения, приведенные в следующей таблице.
| Расчетная глубина промерзания условно непучинистого грунта | Расчетная глубина промерзания слабо пучинистого грунта твердой и полутвердой консистенции | Глубина заложения фундамента |
|---|---|---|
| до 2 метров | до 1 метра | 0,5 м |
| до 3 метров | до 1,5 метров | 0,75 м |
| более 3 метров | от 1,5 до 2,5 метров | 1 м |
| от 2,5 до 3,5 метров | 1,5 м |
Полезный совет! Вне зависимости от условий на местности, максимальным допустимым показателем заглубления в экономическом и в целом разумном плане является 250 см.
Если фундамент обустраивается на песчаном непучинистом грунте, на показатель глубины промерзания можно не обращать внимания. Также избавиться от зависимости с глубиной промерзания можно при обеспечении вертикального утепления фундамента и горизонтальной теплоизоляции грунта.
Приведенные выше значения могут претерпевать изменения, если грунтовые воды располагаются относительно близко к поверхности. При таких обстоятельствах фундамент придется заглублять на более существенный уровень. Можете ориентироваться на значения, приведенные в следующей таблице.

Таблица. Требования к глубине заложения фундамента
Владельцам участков, расположенных на пучинистых почвах с высокими грунтовыми водами, следует подумать над использованием другой опорной конструкции, к примеру, свайно-ростверковой. Такому основанию не страшны грунтовые воды и морозные пучения.
Показатели нормативной глубины промерзания представлены в таблице.

Таблица. Нормативное сезонное промерзание грунтов в разных регионах

Нормативные показатели промезания
Таблица. Нормативное сезонное промерзание грунтов в разных регионах
Столбчатые опоры

Столбчатые опоры
В основе этой конструкции – опорные столбы, обустраиваемые в углах строения и на пересечениях стен и перегородок. При необходимости дополнительные опоры сооружаются под тяжелыми простенками, массивными балками и в прочих участках, характеризующихся увеличенной нагрузкой.
В целях обеспечения равномерности распределения нагрузок, создаваемых вышестоящим строением, а также организации работы столбов в качестве цельной опорной конструкции и для увеличения устойчивости фундамента к воздействующим на него силам, обустраивается ростверк, представленный обвязочными балками, соединяющими элементы опорной конструкции.

Столбчатый фундамент
Столбчатый фундамент рекомендован к использованию в следующих ситуациях:

Столбчатые фундаменты
Столбчатая опорная конструкция имеет ряд преимуществ.
Во-первых, на ее обустройство обычно затрачивается не более 20% от расходов на весь дом (для сравнения, в случае с фундаментами других типов этот показатель может возрастать до 30% и более).
Во-вторых, через отдельные опоры происходит более эффективное распределение нагрузок, нежели посредством сплошного ленточного основания. Столбы обеспечивают равнозначные показатели давления на почву, в результате чего отмечается уменьшение выраженности осадки по сравнению с ранее рассмотренными ленточными конструкциями. Благодаря этому появляется возможность уменьшения суммарной площади основания.

Опорно-столбчатая конструкция — фото
При определении оптимального показателя глубины заложения столбов, обращают внимание на нижеперечисленные факторы:
Помимо природных факторов, проектировщик должен обращать внимание на нижеперечисленные положения:
Наиболее выраженное отрицательное воздействие на опорные конструкции оказывают силы морозного пучения. Ввиду этого, строительству практически любого фундамента предшествует оценка степени пучинистости грунта. Большинство застройщиков придерживается принципа, в соответствии с которым при работе на грунтах пучинистого типа фундаменты закладываются в среднем на 200-300 мм ниже расчетного показателя глубины промерзания в холодное время года. Наряду с этим, возведение малонагруженных построек, к примеру, таких как частная баня, имеет свои исключительные особенности.

Схема заложения столбчатого фундамента на глубину промерзания
Фундаменты подобных строений подвергаются силам пучения, в большинстве случаев превосходящим общие нагрузки, создаваемые вышерасположенным строением. Из-за такой разности по итогу и происходят разнообразные деформации опоры.
Ввиду этого, планируя постройку бани или любого другого здания без подвального помещения на грунте, склонном к сезонному пучению, лучше отдавать предпочтение незаглубленной либо мелкозаглубленной разновидности опорной конструкции.
К категории незаглубленных фундаментов относятся опоры, закладываемые на 40-50-сантиметровую глубину, т.е. в среднем на 30-50% от глубины промерзания почвы.

Незаглубленный столбчатый фундамент
Мелкозаглубленными называют опоры, глубина заложения которых составляет 50-70% от нормативного показателя промерзания почвы. К примеру, в соответствии с нормативным показателем грунт промерзает на 150 см. В данном случае мелкозаглубленный фундамент надо заглублять минимум на 75 см.

Незаглубленные фундаментные столбы
Если грунт является пучинистым и глубоко промерзает, придется делать заглубленную опорную конструкцию, обустраиваемую, как уже отмечалось, в среднем на 20-30 см ниже точки промерзания. При таких обстоятельствах хорошо себя показывают сборные и монолитные столбы из армированного бетона. Подобные конструкции в незначительной мере подвержены воздействию сил пучения.

Монолитные столбы из армированного бетона
Если для обустройства опор применяются камни, неармированный бетон, мелкие блоки, кирпич, стены фундамента должны сужаться кверху – благодаря этому будет, во-первых, обеспечено равномерное распределение нагрузок, создаваемых строением, во-вторых, уменьшен расход строительных материалов.
Среди дополнительных мер, способствующих уменьшению выраженности сил морозного пучения, следует отметить нижеперечисленные положения:
Есть ряд ограничений, наличие которых является прямым противопоказанием к применению столбчатых опор.
- Во-первых, столбчатый фундамент нельзя использовать на слабых грунтах, а также почвах, склонных к горизонтальным подвижкам, т.к. столбы характеризуются малой стойкостью к опрокидываниям. Чтобы нивелировать боковые сдвиги, обустраивается жесткий армированный ростверк. В случае его применения затраты на возведение столбчатого фундамента практически уровняются с расходами на заливку армированной ленты.
![Глубина заложения фундамента Глубина заложения фундамента]()
Армопояс
- Во-вторых, столбы лучше не обустраивать на участках, расположенных на слабонесущих (торфяных, водонасыщенных глинистых и т.п.) грунтах, в особенности в случае возведения тяжелых домов (с использованием железобетонных плит перекрытия, с кирпичными стенами толщиной от 50 см и т.д.).
![Глубина заложения фундамента Глубина заложения фундамента]()
На глинистых грунтах лучше не устанавливать столбчатое основание
- В-третьих, лучше не строить ничего на столбчатых опорах, если участок расположен в местности с существенными перепадами высот (более 200 см).
![Глубина заложения фундамента Глубина заложения фундамента]()
На участках со сложным рельефом столбчатое основание — не лучший вариант
Плитные опоры
Монолитная плитная опорная конструкция характеризуется высокими показателями надежности, прочности и долговечности, но и требует соответствующих трудовых и материальных вложений на обустройство. Применение таких опор является целесообразным при работе на слабых разновидностях грунтов, к примеру, почвах с высоким содержанием органики.

Монолитная плитная опорная конструкция
В случае использования плиты отмечается уменьшение давления на почву. Происходит это по той причине, что плита опирается на основание всей поверхностью, благодаря чему обеспечивается равномерное распределение нагрузок, создаваемых вышестоящим строением.

Фундамент монолитная плита
На плитном фундаменте можно строить здания из любых материалов. В особенности часто подобные опоры выбираются для применения в комплексе с каменными конструкциями, т.е. строениями, возведенными из блоков, кирпичей и т.п.

Монолитный фундамент для бани
Как и в случае с вышерассмотренными разновидностями оснований, глубину заложения определяют в соответствии с характерными особенностями грунта и нагрузками, создаваемыми строением: чем они выше, тем толще делается плита и тем глубже она закладывается.
Плитные фундаментные конструкции не заглубляют до уровня промерзания. Незаглубленные опоры и вовсе возводят на уровне грунта. В строительной практике получила популярность т.н. «плавающая плита» — такой фундамент заглубляется максимум до 1 м, а силами нижележащего утрамбованного песчано-гравийного слоя обеспечивается видимость «плавающей» железобетонной плиты. Такая конструкция характеризуется большей устойчивостью к деформационным воздействиям со стороны грунта.

Плитные фундаментные конструкции
Наибольшей же популярностью пользуется мелкозаглубленная разновидность плитного фундамента, закладываемая на глубину 200-500 мм. Под плитой обустраивается уплотненная «подушка» из песка и щебенки суммарной толщиной порядка 30 см. Плита армируется по всей площади. Подобная конструкция характеризуется высокой стойкостью к переменным нагрузкам, возникающим при перепадах температуры и приводящим к пучению грунта.

Мелкозаглубленная
разновидность плитного фундамента
Таким образом, плитные фундаменты подходят для использования на проблемных грунтах: подвижных, просадочных, пучинистых и т.п.
Среди недостатков такой конструкции нужно отметить большой объем земляных работ, а также повышенные затраты на приобретение высококачественных армирующих элементов и бетона. Используемые материалы должны соответствовать следующим минимальным требованиям:
В отдельных случаях марку бетона рекомендуется увеличивать минимум до М300, а диаметр арматуры – до 1,4-1,6 см.
Таким образом, монолитная армированная бетонная плита хорошо подходит для использования на грунтах с высокими подземными водами, а также на слабых и разнородных почвах. При таких обстоятельствах расходы на обустройство плитной конструкции будут оправданными и целесообразными. В противном случае специалисты рекомендуют обращать внимание на более экономически выгодные решения в виде вышерассмотренных столбчатого и ленточного оснований.
Дополнительно вам предлагается ознакомиться с таблицами, характеризующими различные типы грунтов, а также отражающими зависимость показателя глубины заложения опорной конструкции от характеристик грунта и высоты прохождения подземных вод.

Подвиды грунтов

Типы почв

Виды грунтов
Удачной работы!
Видео – Глубина заложения фундамента


