Дымоход в бане своими руками
Перед тем как приступать к работам по монтажу дымохода, следует изучить его главные параметры. От правильного выбора параметров зависит не только коэффициент полезного действия печи, но и пожарная безопасность бани и здоровье людей. Каждый производитель котлов дает рекомендации по диаметру и высоте дымохода в зависимости от технических показателей, их нужно максимально соблюдать. Не стоит думать, что чем сильнее тяга, тем лучше дымоход.

Дымоход в бане своими руками
Рассмотрим главные проблемы дымоходов.
- Недостаточная тяга. При слабой тяге в топку поступает ограниченное количество кислорода, процесс горения замедляется, теплотворная способность печи резко падает. Кроме того, появляются риски попадания газов в помещение, неправильные размеры дымохода часто становятся причиной появления обратной тяги.
- Слишком сильная тяга. Горячие газы не успевают отдавать тепло в печи, топливо начинает «обогревать атмосферу».

Тяга – это параметр дымохода, который отражает скорость движения дымовых газов в нем
Дымоходы должны отвечать требованиям СНиПа 2.04.05–91 и ДБН В.2.5–20–2001, в них, кстати, требуется наличие в помещениях приточной вентиляции. Это значит, что в небольшие по размерам бани во время протапливания печи должен поступать свежий воздух. Нужно заметить, что наши соотечественники очень редко соблюдают это требование – экономят тепло.
Нормативные документы для бесплатного скачивания
СНиП 41-01-2003 (Отопление, вентиляция и кондиционирование)
ДБН В.2.5-20-2001

Проверка тяги в дымоходе

Неприятный запах гари, дым в помещении, плохое горение дров – все это последствия обратной тяги в дымоходе
Содержание материала
Как рассчитать диаметр дымохода
Есть два варианта расчетов: сложный и упрощенный, но все они принимают во внимание количество кислорода, необходимое для обеспечения горения топлива.
Еще важный момент. Для исключения образования на стенках дымохода конденсата температура газов на выходе из дымохода должна превышать +120°С. Конденсат на внутренней части трубы становится причиной задержки сажи, что быстро снижает тягу и требует частой чистки.
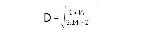
Оптимальные характеристики дымоходов
| Параметр | Значение |
|---|---|
| Температура газов на выходе дымохода | +120°С |
| Минимальная скорость движения газов | Не менее 2 м/с |
| Рекомендуемая высота дымохода | 5 метров |
| Количество сгораемого топлива в одной закладке топки | 10 кг/час |
Исходя из этих характеристик, можно рассчитать диаметр дымохода по формуле

Диаметр дымохода
Рассчитать высоту дымохода в зависимости от геометрии сечения можно при помощи графика.

График зависимости
Для расчета нужно знать площадь топки (F) и площадь дымохода f, делим первое значение на второе и определяем процентное соотношение. К примеру, отношение сечения дымохода к сечению топки составляет 10%. Значит, минимальная высота дымохода круглого сечения составляет 7 метров, квадратного 9 метров, а прямоугольного 11 метров. Разница по высоте компенсирует вихревое сопротивление, создаваемое каждым типом дымоходов.
Вы должны понимать, что эти значения имеют место только при прямой трубе, чего в бане сложно достичь. По большей части дымоходные трубы имеют различные повороты, это отрицательно сказывается на тяге. Чтобы точно рассчитать конкретный дымоход с различными искривлениями, придется приглашать «профессора», а вам мы советуем немного увеличить полученный диаметр. Все расчеты сделаны с большим запасом, плюс некоторое увеличение – этого вполне достаточно для печи, работающей на твердом топливе.
Еще несколько практических советов по дымоходам
| Совет | Иллюстрация |
|---|---|
| Если дровами отапливается жилой дом, то правила рекомендуют ежегодно перед началом отопительного сезона проверять тягу. |
Как проверить тягу |
| При необходимости дымоход прочищается. На практике прочистку делают не чаще одного раза в 10–15 лет. Бани топятся преимущественно один раз в неделю. Соответственно, чистить дымоходы нужно во много раз реже. Вывод – не стоит делать специальных сложных конструкций для очистки. |
Ершик для чистки дымохода бани |
| Главный «враг» дымохода – влажные дрова. Они во время горения испаряют много воды, температура газов значительно понижается. Внутри дымохода постоянно находится конденсат, к которому прилипает сажа. В таких условиях дымоход может не прослужить и одного сезона. Вывод – используйте только сухие дрова. |
Сухие березовые дрова |
| Для повышения температуры в бане металлическую трубу дымохода можно присоединить к нескольким коленам – значительно увеличивается площадь теплоотдачи, баня быстрее прогревается. |
Колено сэндвич дымохода |
| Старайтесь не выводить дымоход через крышу, значительно проще расположить его в торце бани. Таким образом удастся не только сократить время на монтаж, но и исключить риски появления протечек на кровле крыши. |
Вывод дымохода через стену |
Дымоходы могут быть кирпичными, керамическими или сэндвич труб (двойными). Рассмотрим монтаж каждого из этих видов.
Кладка кирпичных дымоходов

Кирпичный дымоход
Для начала ознакомьтесь с устройством кирпичного дымохода. Это существующий стандарт, но для бани вы можете по своему усмотрению немного упростить конструкцию. Конечно, упрощать следует с умом, изменения не должны стать причиной саморазрушения конструкции или отсутствия необходимой тяги.

Схема кирпичного дымохода

Устройство кирпичного дымохода
Кладку от печи к потолку лучше делать на глиняном растворе, выше можно использовать цементно-песчаный, на над крышей только цементно-песчаный.
Как ставить дымоход?

Инструменты для кладки кирпича
Шаг 1. Сделайте разметку под дымоход на потолке и крыше, отверстия должны быть строго вертикальными, используйте отвес или уровень. Пропилите отверстия под расчетные размеры. Заготовьте козлы и раствор.

Заготовленное отверстие
Шаг 2. Начинайте выкладывать надсадную часть. Укладывается она уже на подготовленное место печи, условный диаметр прохода должен обеспечивать устойчивую тягу при различных климатических условиях и режимах топки печи.

Дымоход
Важное замечание – делайте внутренний проход как можно ровнее, сразу заделывайте швы. Любые неровности вызывают завихрения потока воздуха, большое количество неровностей может существенно ухудшить тягу. Даже при нормальных показателях условного прохода тяга будет недостаточной.
Проверяйте положение каждого ряда, исправить допущенные ошибки при кладке невозможно, кирпичи придется снимать. Для того чтобы в постоянном режиме контролировать вертикальность дымохода, натяните нить между углом первого ряда надсадной части и углом отверстия в потолке. Такое простое приспособление позволит класть кирпичи вертикально. Толщина дымохода в полкирпича, для бани этого достаточно.

Печная труба — порядовка
Шаг 3. Кладка распушки. Этот узел не столько предохраняет покрытие потолка от самовозгорания, сколько служит элементом для фиксации дымохода. Распушка – расширение внешних стенок конструкции, для повышения их устойчивости нужно пользоваться кусками строительной арматуры. Арматура не должна выходить в отверстие дымохода и быть видна снаружи.

Распушка трубы

Размеры распушки

Распушка
Каждый новый ряд должен немного (на четверть) выступать над предыдущим, через три ряда ширина дымохода должна составлять один кирпич. Самое широкое место должно быть на уровне покрытия потолка.
Шаг 4. Очень важный шаг. Нужно закрепить дымоход. Для этого следует вплотную к распушке по всему периметру прибить обрезные доски. Они будут удерживать дымоход и не позволят ему колебаться во время ветровых нагрузок. Доски прибиваются на верхнем потолочном покрытии. Идеальный вариант – распушка поставлена вплотную к потолочным балкам, но такая ситуации редко встречается.
Шаг 5. Нужно опять перевести распушку в стояк. Постепенно уменьшайте внешний периметр дымохода. Так кладите дымоход до покрытия крыши.

Кладка стояка дымохода в чердачном пространстве
Шаг 6. Выдра. Эта конструкция служит для отвода дождевых вод. По размерам больше стояка на четверть кирпича. Класть ее нужно по той же технологии, что и распушку. Для того чтобы внутренние размеры дымохода не изменялись, используйте специальные тонкие вставки. Высота выдры зависит от угла наклона крыши. Главное условие – выдра должна начинаться от низа кровельного покрытия и выступать над верхней точкой на два ряда.

Выдра

Как сделать дымоход
Шаг 7. Далее можно класть шейку дымохода, при желании оголовок и установить металлический решетчатый колпак.

Выбор высоты дымохода в зависимости от расстояния до конька

Дымовая труба из кирпича
Шаг 8. Герметизация стыка выдры и кровельного покрытия. Очень внимательно делайте все работы по герметизации, выбор конкретного способа и дополнительных элементов зависит от типа кровельного покрытия. Существует огромное количество различных методов, решение принимается на месте с учетом максимального числа существующих факторов.

Печная труба на крыше

Схема гидроизоляции печной трубы
Кирпичные дымоходы относятся к самым сложным и дорогостоящим типам дымоходов, современные материалы и технологии дают возможность устанавливать более простые, но не менее эффективные конструкции.
Как установить сэндвич-дымоход

Утепленные дымоходы (сэндвич)

Схема для монтажа сэндвич дымохода
Новые конструкции, отлично смотрятся, быстро монтируются, имеют длительный срок эксплуатации. Все эксплуатационные характеристики на самом высоком уровне. Единственный недостаток – на таком же высоком уровне и цена этих конструкций.
Производители комплектуют свои изделия полным набором доборных элементов: коленами, тройниками, хомутами, заглушками, потолочно-проходными узлами, оголовками, защитными экранами. Конкретный выбор доборных материалов следует проводить с учетом особенностей конструкции дымохода.

Как сделать правильный дымоход

Правильная стыковка сэндвич-трубы
Одно из достоинств сэндвич-дымохода – наличие слоя утеплителя, который защищает внешнюю трубу от перегрева. Кроме того, этот слой позволяет внутренней трубе быстро нагреваться, что минимизирует количество конденсата, а это не позволяет саже прилипать ее стенкам.
Алгоритм установки сэндвич-дымохода
| Шаг, №№ | Иллюстрация | Описание |
|---|---|---|
| Шаг 1 |
Изолированное отверстие для прохода дымовой трубы |
При помощи отвеса разметьте места выхода трубы сквозь потолок и крышу, проделайте отверстия. Не забывайте оставлять расстояние между сэндвич-трубой и деревянными конструкциями потолка примерно десять сантиметров по периметру отверстия. Для теплоизоляции используйте минеральную вату или стекловату, аккуратно закройте место входа трубы в потолок. Не стоит бояться, что минеральная вата отсыреет, высокая температура трубы быстро высушит ее. |
| Шаг 2 |
Разгрузочный узел на чердаке |
Снимите все размеры, определите место установки разгрузочного узла. Его делают на чердаке бани, он воспринимает на себя нагрузки трубы, выходящей с потолка. Кроме того, разгрузочный узел не позволяет появляться боковым колебаниям. Если у вас расстояние между полом чердака и крышей большое, то нужно устанавливать разгрузочный узел, если расстояние не превышает 1,5 метра, то дополнительных упоров не нужно. Разгрузочный узел стоит из металлических уголков и установочных элементов. Металлические уголки фиксируются к ногам стропильной системы, крепление делайте по максимуму надежным. |
| Шаг 3 |
Дымоходная труба стартовая |
Установите на выходной патрубок печи стартовый сэндвич, он должен плотно входить в трубу, подбирайте размеры во время приобретения или измените диаметр выходного дымового патрубка из печи. |
| Шаг 4 |
Хомут для сэндвич труб
Крепеж трубы |
Обратите внимание: внутренняя труба должна входить в патрубок на выходе печи, а не накрывать его. Все отдельные отрезки труб вставляются одна в другую, места переходов и изгибов нужно дополнительно фиксировать зажимными хомутами. |
| Шаг 5 |
Разделка потолка бани
Подготовка и установка потолочной проходки |
В месте прохода трубы сквозь потолок следует поставить потолочную разделку для закрытия в потолке выходного отверстия и придания конструкции устойчивости. К потолочной разделке приварена труба немного большего диаметра (проходник), чем диаметр внешней трубы сэндвича, за счет этого увеличивается площадь упора и исключается деформация во время возникновения сильных боковых нагрузок. Проходник позволяет сэндвич-дымоходу двигаться вверх/вниз и не допускает боковых колебаний. Для того чтобы свести к минимуму потери тепла через неплотности, рекомендуется использовать минеральную вату. Подложите ее под потолочную разделку и плотно притяните к потолку саморезами или гвоздями. |
| Шаг 6 |
Проход дымохода через кровлю
Схема вывода трубы дымохода через крышу бани |
Сделайте отверстия в обрешетке и кровельном покрытии. Далее приступайте к герметизации места выхода дымохода, для этого используйте проходник крыши. Все места стыков нужно промазать герметиком. При желании и наличии свободного времени можете поставить на покрытие дополнительный лист. Волны должны совпадать, закрепите его саморезами с уплотнительными резиновыми шайбами. Все доступные и «подозрительные» щели обрабатывайте герметиком. Выход дымохода должен быть на 50 см выше уровня покрытия крыши. |
| Шаг 7 |
Грибок для трубы с термоизоляцией (Термогриб) |
На верху дымохода установите грибок. |
Как может заметить опытный мастер, алгоритм монтажа существенно упрощен. Делали мы это специально для ускорения и удешевления работ. При этом функциональность и безопасность дымохода не ухудшилась. Можно, конечно, устанавливать искрогасители и дефлекторы, термогрибки и флюгеры и пр. детали. Если есть желание и деньги – устанавливайте.
Видео – Дымоход из сэндвич-трубы
Видео — Монтаж дымохода
Керамические дымоходы

Керамические дымоходы

Способ установки керамического дымохода
Новые системы, характеризуются высокими эксплуатационными показателями, очень надежные и красивые, относительно легко устанавливаются. Состоят из трех частей: внутренней керамической трубы, слоя утеплителя и внешних облицовочных керамических кирпичей специального профиля. По углам керамика имеет отверстия для установки металлической арматуры. По цене дороже сэндвич-дымоходов, производители выпускают большое количество различных видов керамических дымоходов, отличающихся внешним видом и особенностями конструкции.

Керамический дымоход

Керамические дымоходы
Не требуют дополнительной защиты деревянных архитектурных элементов. Недостаток – могут быть только прямостоячими. Мы рассмотрим самый простой способ установки дымоходов таких типов в бане.
Шаг 1. Подготовьте место установки, оно должно быть ровным. Устанавливать дымоходы можно на отельном фундаменте возле печи или на верхней поверхности печи, все зависит от особенностей бани. Для кладки нужно использовать специальный клей, раствор не обеспечивает достаточную прочность.

Клей для труб идет в комплекте с дымоходом
Заготовьте металлическую арматуру длиной ≈ 1 метр, диаметр арматуры в пределах. 5÷10 мм. С ее помощью будем дополнительно фиксировать конструкцию, это даст возможность полностью исключить нарушения целостности дымохода. Сделайте отверстия в потолке и крыше, запас по размерам давать не надо, керамический дымоход и так отлично защитит деревянные элементы от высоких температур.

Установка первого блока на гидроизолированное основание

Заполнение первого блока клеем

Установка первой части дымохода
Шаг 2. Установите первые две половинки керамики, замок смазывайте клеем, проверьте положение половинок, при необходимости выровняйте их. В боковые отверстия вставьте металлическую арматуру высотой примерно один метр. Щели между арматурой и керамикой нужно заливать клеем. Не стоит добиваться полного наполнения отверстия, достаточно, чтобы в нескольких местах клей соединял арматуру и керамику.

Второй элемент

Установка второй внутренней детали
Шаг 3. Намотайте на керамическую трубу теплоизоляцию, немного притяните ее к трубе металлической проволокой или специальным хомутом. Не сильно стягивайте, не допускайте сжатия теплоизолятора. Как правило, в качестве теплоизолятора используется слой прессованной минеральной ваты.
Шаг 4. Вставьте трубу в отверстие керамики, проверьте ее положение. Для ускорения процесса можете сразу все керамические трубы обмотать утеплителем, количество труб должно отвечать высоте дымохода.
Шаг 5. Положите вторую керамику на клей, снова проверьте положение. Теперь нужно вставлять еще одну трубу. Она ставится в раструб первой на клей. Добраться к нижнему раструбу сложно, нужно сделать элементарную приспособу. Возьмите небольшой полиэтиленовый пакет из плотной пленки, отрежьте один угол. Должно получиться подобие пакета, которым пользуются женщины во время намазывания тортов кремом. Через срезанный уголок клей будет ложиться точно в раструб трубы. Остатки клея с внутренней плоскости трубы убирайте сразу, не допускайте появления различных потеков. Они завихряют воздушные потоки и значительно ухудшают тягу дымохода.

Третья деталь

Теплоизоляция
Шаг 6. Описанные операции повторяйте, постоянно следите за положением дымохода. Если длина выступающей арматуры стала меньшей от высоты одного блока, вставьте в отверстия новые прутки. Выводите дымоход на чердак бани.

Выравнивание блоков
Шаг 7. Аккуратно заделайте щели между дымоходом и потолочным покрытиям. Для этих целей можно применить обыкновенные деревянные плинтусы или декоративный багет.

Нанесение клея
Шаг 8. Укрепите дымоход на чердаке. Отрежьте доски по размерам отверстия, положите их по периметру дымохода и прочно прибейте к чердачному покрытию. Если высота чердака не превышает полтора метра, то достаточно и такой фиксации. Если высота больше – придется делать еще одну конструкцию для фиксации вертикального положения дымохода. Вторичная фиксация производится к стропильным ногам как можно выше. Можете сделать упоры из дерева или применить металлические уголки. Конкретную конструкцию выбирайте с учетом места выхода дымохода и особенностей стропильной системы бани.

Проходной узел

Керамический дымоход
Шаг 9. Герметизируйте крышу в месте выхода дымохода. Метод и материалы герметизации выбирайте в зависимости от характеристик кровельного покрытия. Работы эти сами по себе не требуют большого умения, они требуют только внимания и строго выполнения всех технологических операций. Для герметизации можно приобрести заводские доборные элементы или изготовить их самостоятельно. Рекомендуем выбрать первый вариант, крыша не то место, где можно экспериментировать. Все протечки неизбежно становятся причиной появления больших проблем.

Прочистная дверца дымохода
Видео — Монтаж керамического дымохода
Видео — Как установить керамический дымоход
Несколько общих советов
Настоятельно вам рекомендуем – если вы видели кирпич и мастерок только по телевизору, не приступайте сразу к кладке дымохода. Выложите хотя бы 10 рядов кирпича на земле, «набейте руку и глаз», научитесь делать обвязку, расширение и сужение стенки. И еще. Не читайте статьи, которые начинаются со слов «самостоятельно сделать кирпичный дымоход очень просто». Такие статьи пишут те, кто сам ничего не делал и не видел, как делают другие.

Лучше заранее потренироваться в кладке дымохода, не используя при этом раствор
После окончания всех работ нужно проверить «работоспособность» вашей конструкции. Для кирпичных печей с кирпичными дымоходами это непросто. Тяги вначале не будет никогда, печь и дымоход должны «посушиться и протопиться». Если на дворе лето и у вас есть время – откройте в бане окна, в печи поддувальную и топочную дверки, в дымоходе задвижки. В таком положении дымоход должен сохнуть приблизительно две недели.

Протопите печь и проверьте тягу
Если у вас нет времени, то протапливайте дровами, они должны быть только полностью сухими. Протапливать нужно ежедневно, но без лишнего энтузиазма, не бросайте большого количества дров. На каждую протопку берите лишь несколько сухих поленьев. После того как дрова прогорят, не закрывайте топку и задвижку, пусть кладка сохнет до следующего дня.


